LZCap®AG(3'Ma-Biotin)

| Catalog No. | HN3008 |
| Molecular Weight | 1385.01(Free acid) |
| Molecular Formula |
C43H60N18O25P4S(Free acid) |
| Concentration | 25 mM |
| Purity | HPLC ≥90% |
| Specification | 50 μL、100 μL |
LZCap®AG(3'Ma-Biotin)
Description: LZCap®AG(3'Ma-Biotin) is a Cap1 analog with a Biotin label,can be used as the capping agent for producing mRNAs in an“one-pot”process. Under the action of T7 polymerase, mRNA with 5' end Cap 1 structure was generated by co-transcription using LZCap®AG(3'Ma-Biotin),NTPs,and template DNA. The capped mRNA could be directly translated and expressed in cells and in vivo. mRNA capped with LZCap®AG(3'Ma-Biotin) can be bound to streptavidin magnetic beads for biological functional exploration; moreover, Biotin, as a common molecule in the body, is involved in various intracellular biological functions and exhibits strong binding affinity with many proteins. Biotin-labeled mRNA holds potential for exploration in biology.
Molecular Formula:C43H60N18O25P4S (Free acid)
Molecular Weight:1385.01(Free acid)
CAS No.: /
Concentration:25 mM
Specifications:50 μL、100 μL
Purity:HPLC ≥90%
Salt type:NH4+
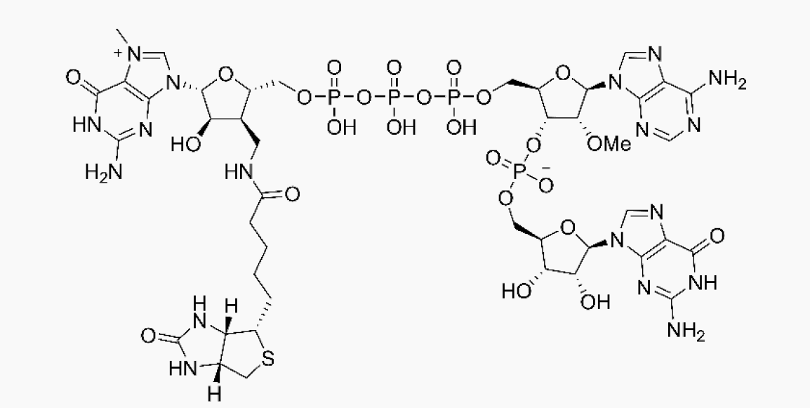
Structure:

Storage Conditions: store at -20°C or below.
LZCap® DNA Template Design
LZCap®AG(3'Ma-Biotin) is suitable for AG-initiated sequences. As shown in the figure below, the T7 promoter (underlined) followed by the AG sequence can effectively initiate transcription.

Protocol
1. Thaw components required for the experiment on ice.
2. Refer to the following reaction system to configure the transcription system at room temperature.

Modified N1-Me-pUTP can be used in place of wild-type UTP. The modified N1-Me-pUTP reduces the immunogenicity of mRNA. Henovcom can also provide modified nucleotide N1-Me-pUTP (Cat. No.: HN1002 ).
Notes:
1) LZCap®AG(3'Ma-Biotin) is suitable for T7 promoter transcription vector with 5 ‘AG 3’initiated sequences, which needs to be considered when constructing the vector.
2) The reagents, consumables and containers used in the experiment are free of RNase contamination.
3) It is recommended to use a linearized DNA template for transcription.
4) When modified nucleotides were used in place of wild-type nucleotides, the final concentration of the reaction was unchanged.
5) If the PCR product is used as the transcription initiation DNA template, the amount of DNA template can be reduced by half.
3. Mix the prepared reaction solution, centrifuge briefly, and incubate at 37°C for 2-3 hours. If the transcript length is less than 100nt, increase the reaction time to 4-8 h.
