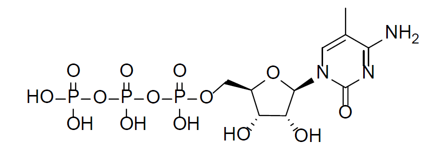
5mCTP

| Cat.NO. |
HN1004 |
| Molecular Formula | C10H18N3O14P3(Free acid) |
| Molecular Weight | 497.18(Free acid) |
| CAS | 327174-86-7(Free acid) |
| Concentration | 100 mM |
| Specifications | 100 μL、1 mL |
| Purity | HPLC ≥99% |
| Salt type | TEA+ |
| Storage Conditions | store at -15°C. |
Details
Download
