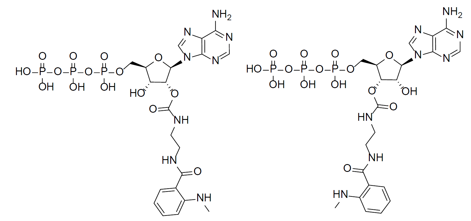
EDA-ATP-MANT

| Cat.NO. |
HN1015 |
| Molecular Formula | C21H29N8O15P3(Free acid) |
| Molecular Weight | 726.43(Free acid) |
| CAS | NA |
| Concentration | 10 mM |
| Specifications | 100 μL、1 mL |
| Purity | HPLC ≥95% |
| Salt type | TEA+ |
| Storage Conditions | store at -15°C. |
Details
Download
